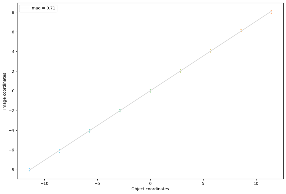
Pinhole camera
python
import torchlensmaker as tlm
optics = tlm.Sequential(
tlm.ObjectAtInfinity(beam_diameter=12, angular_size=40),
tlm.Gap(25),
tlm.Aperture(diameter=.5),
tlm.Gap(40),
tlm.ImagePlane(diameter=50),
)
optics.set_sampling2d(pupil=50, field=15)
tlm.show(optics, dim=2)
tlm.plot_magnification(optics, color_dim="object")
