Paraxial approximation of focal length
In this example we are going to look at how to estimate the focal length and principal plane of an arbitrary lens.
python
import torch
import torchlensmaker as tlm
mat1 = tlm.NonDispersiveMaterial(1.517)
mat2 = tlm.NonDispersiveMaterial(1.649)
# Define a doublet lens
doublet = tlm.Lens(
tlm.RefractiveSurface(tlm.SphereByCurvature(4.0, C=0.135327), materials=("air", mat1)),
tlm.Gap(1.05),
tlm.RefractiveSurface(tlm.SphereByCurvature(3.8, C=-0.19311), materials=(mat1, mat2)),
tlm.Gap(0.4),
tlm.RefractiveSurface(tlm.SphereByCurvature(4.0, C=-0.06164), materials=(mat2, "air")),
)
# Lens parameters
print("Lens minimal diameter:", doublet.minimal_diameter().detach().item())
print("Lens inner thickness:", doublet.inner_thickness().detach().item())
print("Lens outer thickness:", doublet.outer_thickness().detach().item())
# Rear paraxial points
rear_principal_point = tlm.paraxial.rear_principal_point(doublet, wavelength=550)
rear_focal_point = tlm.paraxial.rear_focal_point(doublet, wavelength=550, h=0.01)
rear_focal_length = rear_focal_point - rear_principal_point
print("Lens rear principal point:", rear_principal_point.detach().item())
print("Lens rear focal point:", rear_focal_point.detach().item())
print("Lens rear focal length:", rear_focal_length.detach().item())
# Front paraxial points
front_principal_point = tlm.paraxial.front_principal_point(doublet, wavelength=550)
front_focal_point = tlm.paraxial.front_focal_point(doublet, wavelength=550, h=0.01)
front_focal_length = front_focal_point - front_principal_point
print("Lens front principal point:", front_principal_point.detach().item())
print("Lens front focal point:", front_focal_point.detach().item())
print("Lens front focal length:", front_focal_length.detach().item())
### REAR ILLUSTRATION ###
controls = {"show_principal_axis": True, "show_other_axes": True}
# Add a simple light source for illustration
# Keep the lens vertex at the origin so we can display the points in the correct reference frame
optics_rear = tlm.Sequential(
tlm.Gap(-1),
tlm.PointSourceAtInfinity(beam_diameter=3.0, wavelength=550),
tlm.Gap(1),
doublet,
)
optics_rear.set_sampling2d(pupil=10)
cosmetic_points_rear = torch.tensor([
[rear_focal_point.detach().item(), 0],
[rear_principal_point.detach().item(), 0]
])
scene_rear = tlm.render_sequence(optics_rear, 2, end=15)
scene_rear["data"].append(tlm.render_points(cosmetic_points_rear, radius=0.05))
scene_rear["controls"] = controls
tlm.display_scene(scene_rear)
### FRONT ILLUSTRATION ###
# Add a simple light source for illustration
# Keep the lens vertex at the origin so we can display the points in the correct reference frame
optics_front = tlm.Sequential(
tlm.Gap(1),
tlm.Reversed(tlm.PointSourceAtInfinity(beam_diameter=3.0, wavelength=550)),
tlm.Gap(-1),
tlm.Reversed(doublet),
)
optics_front.set_sampling2d(pupil=10)
cosmetic_points_front = torch.tensor([
[front_focal_point.detach().item(), 0],
[front_principal_point.detach().item(), 0]
])
scene_front = tlm.render_sequence(optics_front, 2, end=15)
scene_front["data"].append(tlm.render_points(cosmetic_points_front, radius=0.05))
scene_front["controls"] = controls
tlm.display_scene(scene_front)Lens minimal diameter: 3.799999952316284
Lens inner thickness: 1.4499999284744263
Lens outer thickness: -0.0532536506652832
Lens rear principal point: 0.7356008887290955
Lens rear focal point: 12.746492385864258
Lens rear focal length: 12.010891914367676
Lens front principal point: -1.2109190225601196
Lens front focal point: -13.221537590026855
Lens front focal length: -12.010618209838867
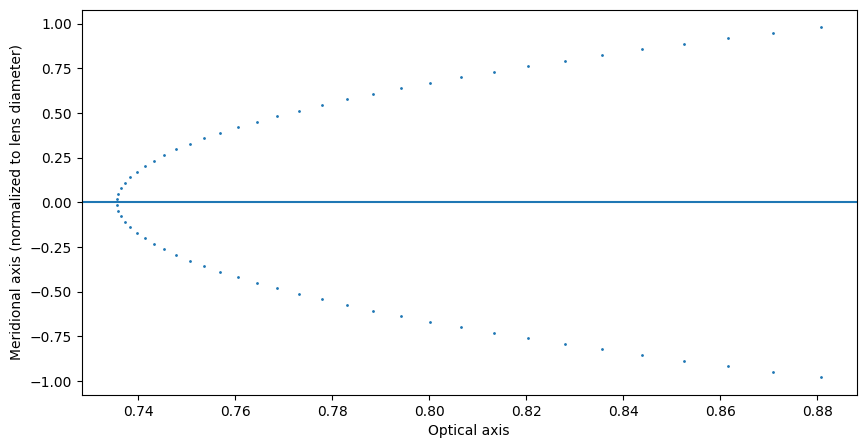
python
# Plot equivalent refracting locus
import matplotlib.pyplot as plt
# Illustration of the rear equivalent refracting locus
lens = doublet
mdiam = lens.minimal_diameter()
source = tlm.PointSourceAtInfinity(
0.98 * mdiam,
sampler_pupil_2d=tlm.LinspaceSampler1D(64),
sampler_wavel_2d=tlm.ZeroSampler1D(),
wavelength=500,
)
inputs = source.sequential(tlm.default_input(dim=2))
outputs = lens(inputs)
t = tlm.paraxial.equivalent_locus_2d(inputs.rays.P, inputs.rays.V, outputs.rays.P, outputs.rays.V)
CP = inputs.rays.P + t[:, 0].unsqueeze(-1) * inputs.rays.V
scene = tlm.render_sequence(optics_rear, 2, end=4)
scene["data"].append(tlm.render_points(CP, radius=0.01))
tlm.display_scene(scene)
f, ax = plt.subplots(1, 1, figsize=(10, 5))
ax.plot(CP[:, 0].tolist(), (CP[:, 1] / (0.5*mdiam)).tolist(), linestyle="none", marker="o", markersize=1)
ax.axhline()
ax.set_xlabel("Optical axis")
ax.set_ylabel("Meridional axis (normalized to lens diameter)")
plt.show()
python
# Illustration of the front equivalent refracting locus
lens = tlm.Reversed(doublet)
source = tlm.Reversed(tlm.PointSourceAtInfinity(
0.98 * mdiam,
sampler_pupil_2d=tlm.LinspaceSampler1D(64),
sampler_wavel_2d=tlm.ZeroSampler1D(),
wavelength=500,
))
inputs = source.sequential(tlm.default_input(dim=2))
outputs = lens(inputs)
t = tlm.paraxial.equivalent_locus_2d(inputs.rays.P, inputs.rays.V, outputs.rays.P, outputs.rays.V)
CP = inputs.rays.P + t[:, 0].unsqueeze(-1) * inputs.rays.V
scene = tlm.render_sequence(optics_front, 2, end=4)
scene["data"].append(tlm.render_points(CP, radius=0.01))
tlm.display_scene(scene)
f, ax = plt.subplots(1, 1, figsize=(10, 5))
ax.plot(CP[:, 0].tolist(), (CP[:, 1] / (0.5*mdiam)).tolist(), linestyle="none", marker="o", markersize=1)
ax.axhline()
ax.set_xlabel("Optical axis")
ax.set_ylabel("Meridional axis (normalized to lens diameter)")
plt.show()
python
# Illustration of the focal points as you change the paraxial ray height
lens = doublet
mdiam = lens.minimal_diameter()
source = tlm.PointSourceAtInfinity(
0.98 * mdiam,
sampler_pupil_2d=tlm.LinspaceSampler1D(64),
sampler_wavel_2d=tlm.ZeroSampler1D(),
wavelength=500,
)
inputs = source.sequential(tlm.default_input(dim=2))
outputs = lens(inputs)
t = -outputs.rays.P[:, 1] / outputs.rays.V[:, 1]
CP = outputs.rays.points_at(t)
scene = tlm.render_sequence(optics_rear, 2, end=12)
scene["data"].append(tlm.render_points(CP, radius=0.001))
tlm.display_scene(scene)
f, ax = plt.subplots(1, 1, figsize=(10, 5))
ax.plot(CP[:, 0].tolist(), (inputs.rays.P[:, 1] / (0.5*mdiam)).tolist(), linestyle="none", marker="o", markersize=1)
ax.axhline()
ax.set_xlabel("Focal Point")
ax.set_ylabel("Paraxial ray height (normalized to lens diameter)")
plt.show()
