Ernostar 1928

python
import torch
import torchlensmaker as tlm
# TODO make name optional in materialmodel
# Fit Cauchy model from given values
def fit_cauchy(Nd, Ng, lambda_d, lambda_g):
B = (Ng - Nd) / (1/(lambda_g**2) - 1/(lambda_d**2))
A = Nd - B/(lambda_d**2)
return tlm.CauchyMaterial(A, B)
# is L3 N_G' a typo?
# what is 6.67 ??
material1 = fit_cauchy(Nd=1.56384, Ng=1.57532, lambda_d=0.58929 , lambda_g=0.430790)
material2 = fit_cauchy(Nd=1.64769, Ng=1.67249, lambda_d=0.58929 , lambda_g=0.430790)
print(material1, material2)
tlm.plot_material_models([material1, material2], labels=["1", "2"])
# eye balling those as I can't find them in the patent
D1, D2, D3, D4 = 50, 35, 30, 35
r1 = tlm.Sphere(D1, 52)
r2 = tlm.Sphere(D1, -450)
r3 = tlm.Sphere(D2, 36)
r4 = tlm.Sphere(D2, 48.539)
r5 = tlm.Sphere(D3, -260)
r6 = tlm.Sphere(D3, 28.84)
r7 = tlm.Sphere(D4, 110)
r8 = tlm.Sphere(D4, -61.496)
d1, d2, d3, d4 = 9, 8, 2, 5
l1, l2, l3 = 0, 8.605, 30
L1 = tlm.Lens(r1, r2, material=material1, inner_thickness=d1)
L2 = tlm.Lens(r3, r4, material=material1, inner_thickness=d2)
L3 = tlm.Lens(r5, r6, material=material2, inner_thickness=d3)
L4 = tlm.Lens(r7, r8, material=material1, inner_thickness=d4)
x = tlm.parameter(60)
optics = tlm.Sequential(
tlm.ObjectAtInfinity(beam_diameter=15, angular_size=20),
tlm.Wavelength(400, 800),
tlm.Gap(10),
L1,
tlm.Gap(l1),
L2,
tlm.Gap(l2),
L3,
tlm.Gap(l3),
L4,
tlm.Gap(x),
tlm.ImagePlane(100),
)
tlm.show(optics, dim=2, sampling={"base": 5, "object": 5, "wavelength": 5})
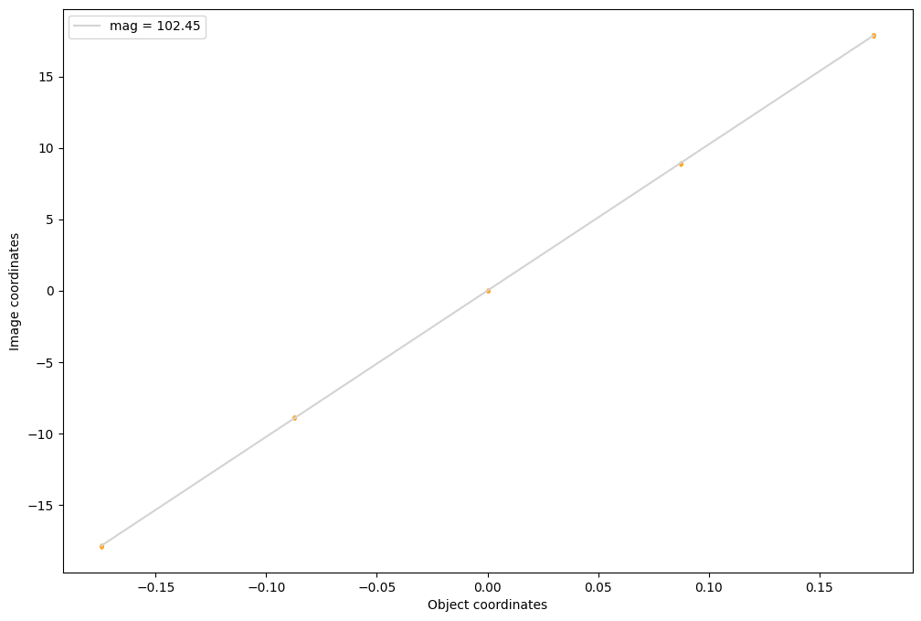
tlm.plot_magnification(optics, sampling={"base": 5, "object": 5, "wavelength": 3})CauchyMaterial(name='(unnamed)', A=1.5506632102741738, B=0.00457580763154747, C=0, D=0) CauchyMaterial(name='(unnamed)', A=1.6192244612194704, B=0.009885019970590192, C=0, D=0)


python
import torch.optim as optim
tlm.optimize(optics,
dim=2,
optimizer = optim.Adam(optics.parameters(), lr=1e-1),
sampling = {"base": 5, "object": 10, "wavelength": 3},
num_iter=100,
).plot()[ 1/100] L= 2.13412 | grad norm= 1.6496460965117492
[ 6/100] L= 1.40347 | grad norm= 1.287722339629184
[ 11/100] L= 0.86738 | grad norm= 0.9371255970383443
[ 16/100] L= 0.52077 | grad norm= 0.611461533481573
[ 21/100] L= 0.33724 | grad norm= 0.3268802680048285
[ 26/100] L= 0.27059 | grad norm= 0.09938254677610275
[ 31/100] L= 0.26626 | grad norm= 0.05976496080857921
[ 36/100] L= 0.27896 | grad norm= 0.1484857145851825
[ 41/100] L= 0.28491 | grad norm= 0.1752309366500847
[ 46/100] L= 0.28061 | grad norm= 0.15635197578862658
[ 51/100] L= 0.27234 | grad norm= 0.1114466191421802
[ 56/100] L= 0.26619 | grad norm= 0.05893204215755157
[ 61/100] L= 0.26392 | grad norm= 0.01289630705116631
[ 66/100] L= 0.26404 | grad norm= 0.01850588522994807
[ 71/100] L= 0.26456 | grad norm= 0.03309720831418688
[ 76/100] L= 0.26457 | grad norm= 0.03340141782103745
[ 81/100] L= 0.26422 | grad norm= 0.024601287413406083
[ 86/100] L= 0.26391 | grad norm= 0.012416603932161423
[ 91/100] L= 0.26381 | grad norm= 0.0014629722612360934
[ 96/100] L= 0.26383 | grad norm= 0.005612855463516024
[100/100] L= 0.26385 | grad norm= 0.008017209627862936

python
tlm.show(optics, dim=2, sampling={"base": 3, "object": 3, "wavelength": 10})
tlm.plot_magnification(optics, sampling={"base": 10, "object": 5, "wavelength": 3})
